Официальное опубликование правовых актов
ОФИЦИАЛЬНОЕ ОПУБЛИКОВАНИЕ
Приказ Министерства экологии и природных ресурсов Нижегородской области от 19.10.2022 № 319-657/22П/од
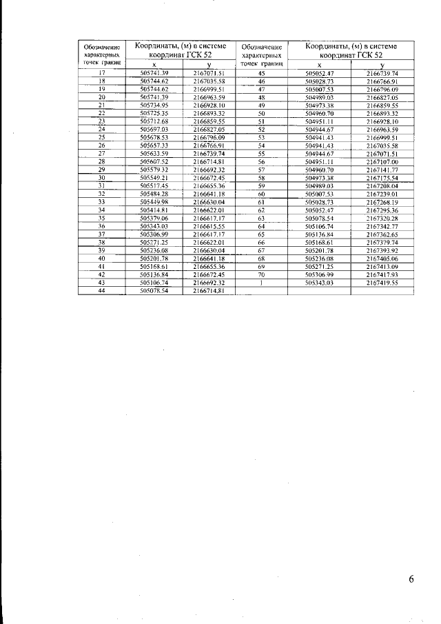
"Об установлении зоны санитарной охраны водозаборного участка МУП "УВКХ", расположенного на южной окраине д. Тимонино Богородского муниципального округа Нижегородской области"
(Зарегистрирован 26.10.2022 № 21231-319-319-657/22П/од)
Номер опубликования: 5201202210310001
Дата опубликования: 31.10.2022
Страница №6 из 6:
Увеличить