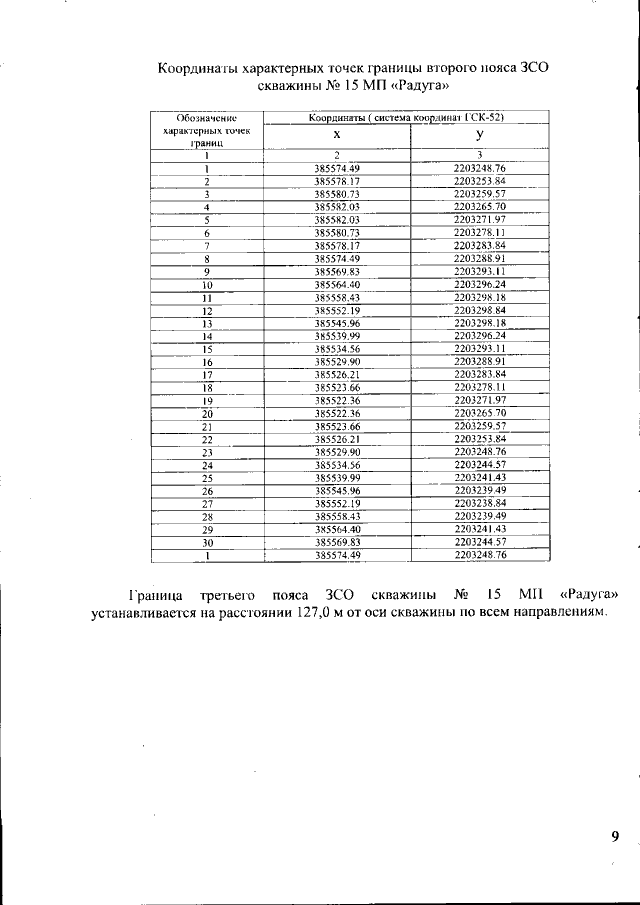
Приказ Министерства экологии и природных ресурсов Нижегородской области от 18.10.2022 № 319-654/22П/од "Об установлении зон санитарной охраны водозаборного участка МП "Радуга" в р.п. Сатис г.о.г. Первомайск Нижегородской области"
(Зарегистрирован 24.10.2022 № 21205-319-319-654/22П/од)
(Зарегистрирован 24.10.2022 № 21205-319-319-654/22П/од)
Номер опубликования: 5201202210260003
Дата опубликования:
26.10.2022
