Официальное опубликование правовых актов
ОФИЦИАЛЬНОЕ ОПУБЛИКОВАНИЕ
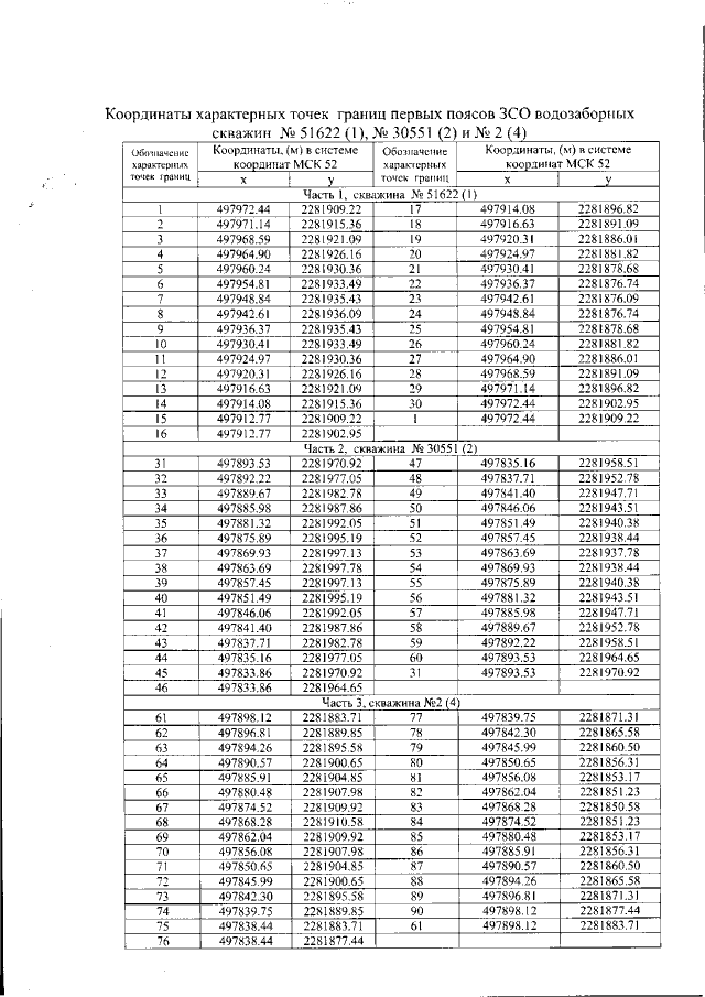
Приказ Министерства экологии и природных ресурсов Нижегородской области от 07.10.2022 № 319-642/22П/од "Об установлении зоны санитарной охраны водозаборных скважин ЗАО "Пивоваренный завод Лысковский" в северо-восточной части города Лысково Нижегородской области"
(Зарегистрирован 17.10.2022 № 21156-319-319-642/22П/од)
Номер опубликования: 5201202210190002
Дата опубликования: 19.10.2022
Страница №4 из 7:
Увеличить