Официальное опубликование правовых актов
ОФИЦИАЛЬНОЕ ОПУБЛИКОВАНИЕ
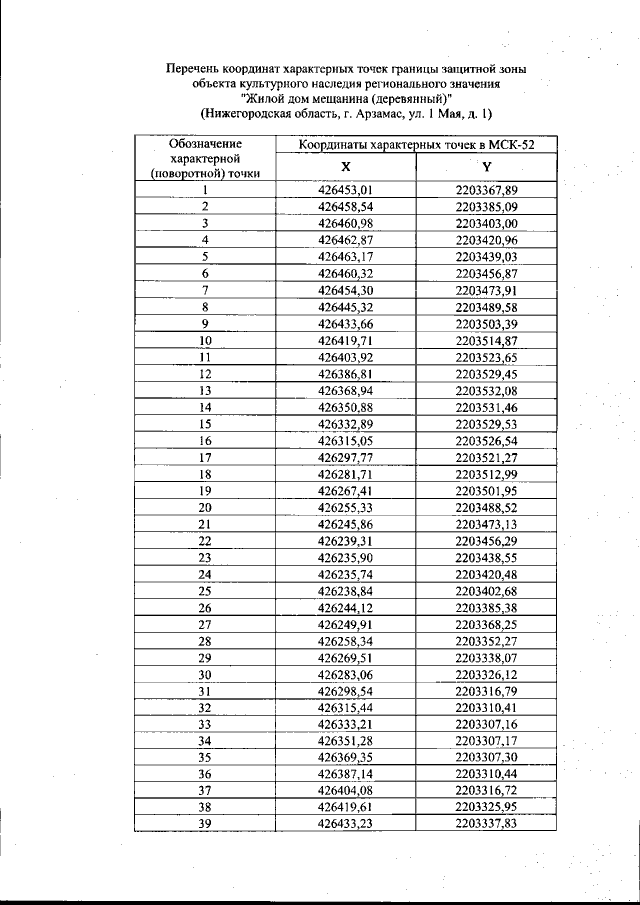
Приказ Управления государственной охраны объектов культурного наследия Нижегородской области от 16.08.2022 № 274 "О внесении изменений в некоторые приказы управления государственной охраны объектов культурного наследия Нижегородской области"
(Зарегистрирован 25.08.2022 № 20882-518-274)
Номер опубликования: 5201202208290003
Дата опубликования: 29.08.2022
Страница №4 из 8:
Увеличить