Официальное опубликование правовых актов
ОФИЦИАЛЬНОЕ ОПУБЛИКОВАНИЕ
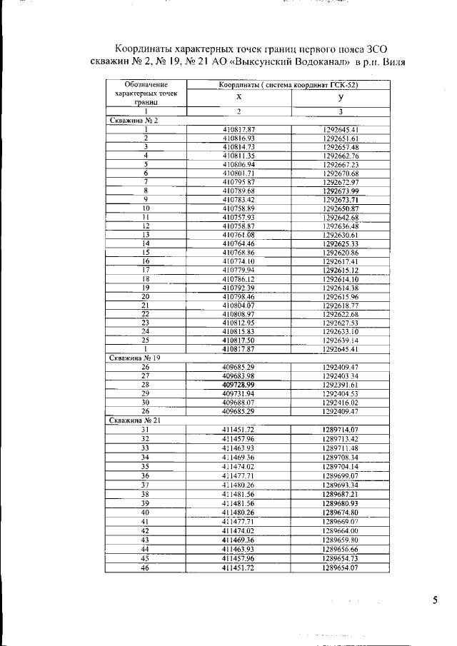
Приказ Министерства экологии и природных ресурсов Нижегородской области от 10.08.2022 № 319-576/22П/од "Об установлении зон санитарной охраны водозаборных скважин АО "Выксунский Водоканал" в р.п. Виля г.о.г. Выкса Нижегородской области"
(Зарегистрирован 24.08.2022 № 20873-319-319-576/22П/од)
Номер опубликования: 5201202208290002
Дата опубликования: 29.08.2022
Страница №5 из 11:
Увеличить