Официальное опубликование правовых актов
ОФИЦИАЛЬНОЕ ОПУБЛИКОВАНИЕ
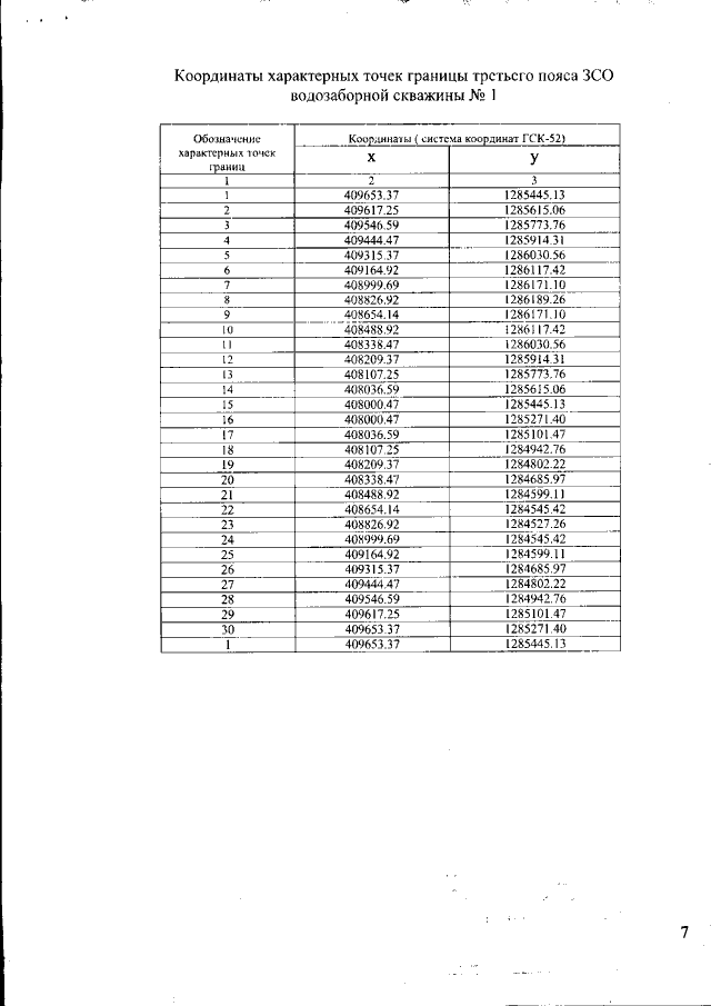
Приказ Министерства экологии и природных ресурсов Нижегородской области от 04.08.2022 № 319-573/22П/од "Об установлении зон санитарной охраны водозаборной скважины АО "Выксунский Водоканал" в с. Верхняя Верея г.о.г. Выкса Нижегородской области"
(Зарегистрирован 22.08.2022 № 20849-319-319-573/22П/од)
Номер опубликования: 5201202208250002
Дата опубликования: 25.08.2022
Страница №7 из 7:
Увеличить