Официальное опубликование правовых актов
ОФИЦИАЛЬНОЕ ОПУБЛИКОВАНИЕ
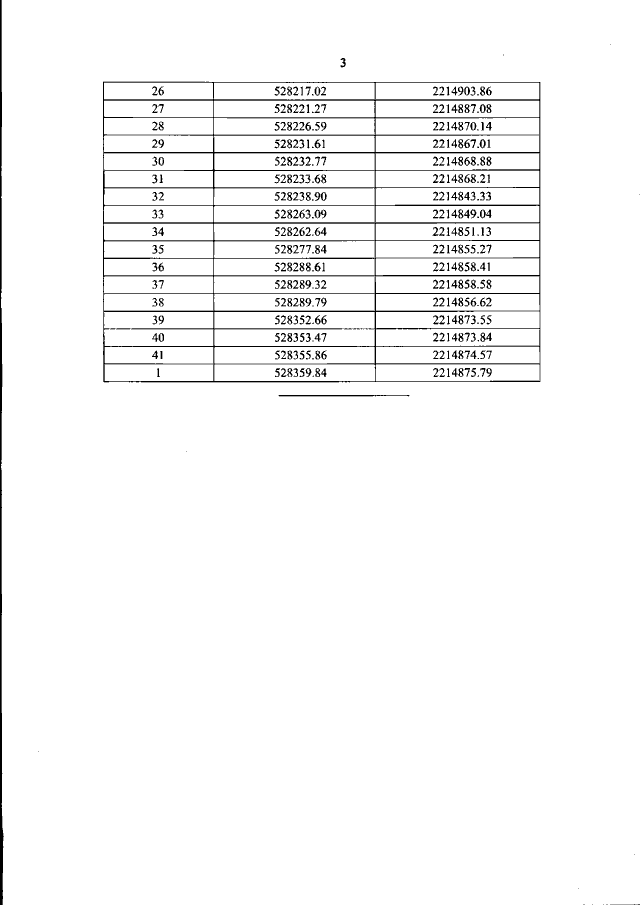
Приказ Управления государственной охраны объектов культурного наследия Нижегородской области от 04.08.2022 № 259 "Об утверждении границы и режима использования территории объекта культурного наследия регионального значения "Ансамбль Крестовоздвиженского женского монастыря" (Нижегородская область, г. Нижний Новгород, Окский съезд, 2а, Западный городок, 1, 2, 6, 7, 8, 22)"
(Зарегистрирован 19.08.2022 № 20843-518-259)
Номер опубликования: 5201202208220009
Дата опубликования: 22.08.2022
Страница №5 из 7:
Увеличить