Официальное опубликование правовых актов
ОФИЦИАЛЬНОЕ ОПУБЛИКОВАНИЕ
Приказ Министерства экологии и природных ресурсов Нижегородской области от 27.07.2022 № 319-568/22П/од
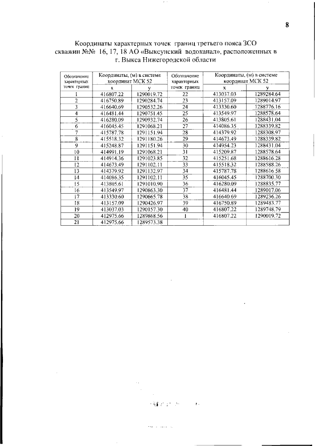
"Об установлении зон санитарной охраны водозаборных скважин №№ 16, 17, 18 АО "Выксунский водоканал", расположенных в г. Выкса Нижегородской области"
(Зарегистрирован 01.08.2022 № 20756-319-319-568/22П/од)
Номер опубликования: 5201202208030014
Дата опубликования: 03.08.2022
Страница №8 из 8:
Увеличить