Официальное опубликование правовых актов
ОФИЦИАЛЬНОЕ ОПУБЛИКОВАНИЕ
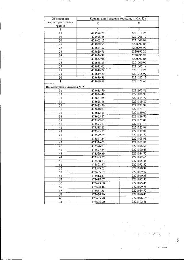
Приказ Министерства экологии и природных ресурсов Нижегородской области от 19.07.2022 № 319-554/22П/од
"Об установлении зон санитарной охраны водозаборных скважин Дальнеконстантиновского МУПП ЖКХ в р.п. Дальнее Константиново Нижегородской области"
(Зарегистрирован 01.08.2022 № 20741-319-319-554/22П/од)
Номер опубликования: 5201202208030010
Дата опубликования: 03.08.2022
Страница №5 из 9:
Увеличить