Официальное опубликование правовых актов
ОФИЦИАЛЬНОЕ ОПУБЛИКОВАНИЕ
Приказ Министерства экологии и природных ресурсов Нижегородской области от 27.07.2022 № 319-569/22П/од
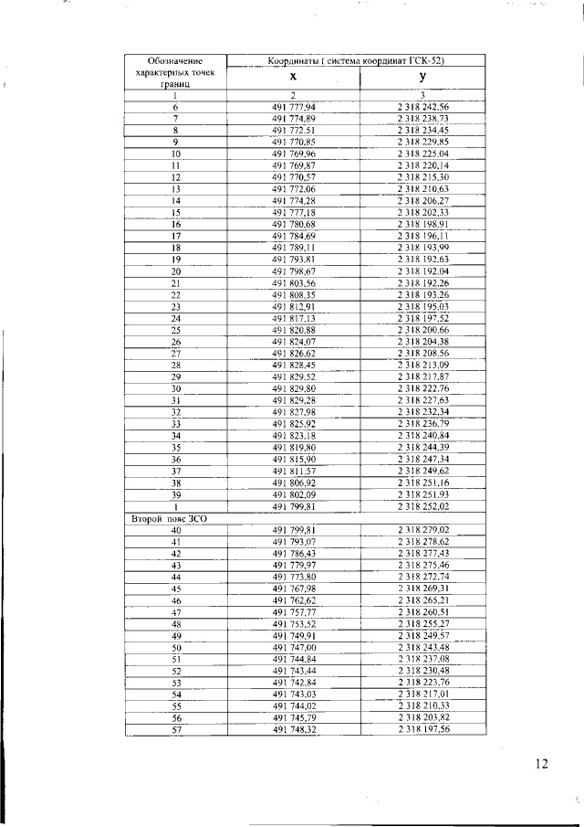
"Об установлении зон санитарной охраны водозаборов МУП "Спасское ЖКХ" в д. Кирилловка, с. Ивановское Спасского муниципального округа Нижегородской области"
(Зарегистрирован 01.08.2022 № 20757-319-319-569/22П/од)
Номер опубликования: 5201202208030004
Дата опубликования: 03.08.2022
Страница №12 из 16:
Увеличить