Официальное опубликование правовых актов
ОФИЦИАЛЬНОЕ ОПУБЛИКОВАНИЕ
Приказ Министерства экологии и природных ресурсов Нижегородской области от 08.07.2022 № 319-546/22П/од
"Об установлении зон санитарной охраны водозабора для обеспечения водоснабжения свиноводческого комплекса ООО "ННПП" в Вадском муниципальном округе Нижегородской области"
(Зарегистрирован 25.07.2022 № 20710-319-319-546/22П/од)
Номер опубликования: 5201202207280005
Дата опубликования: 28.07.2022
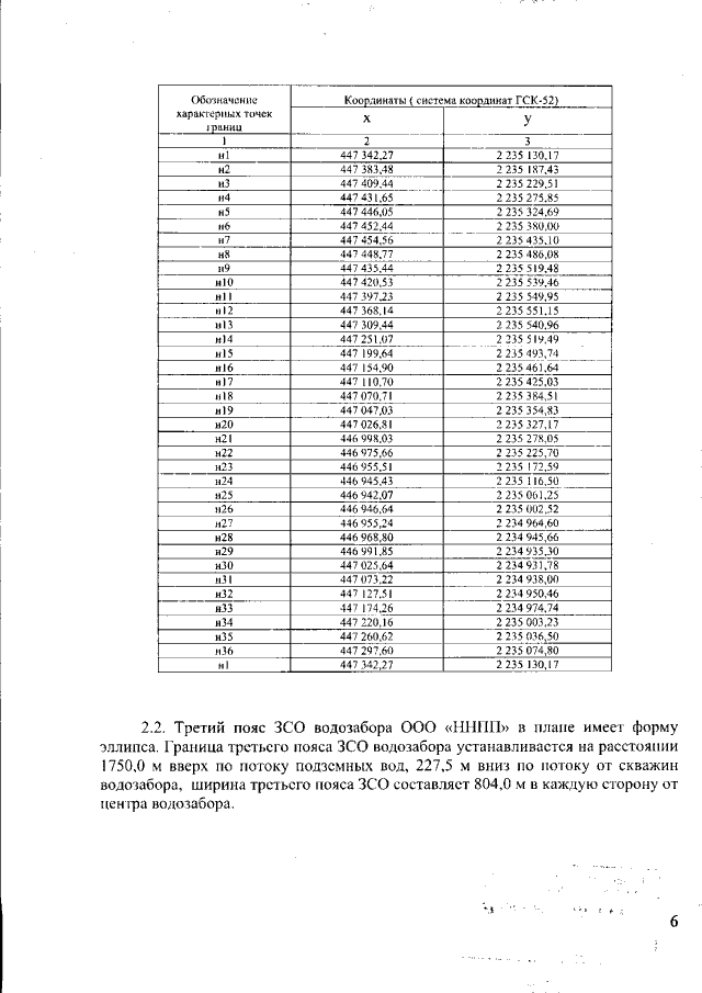
Страница №6 из 9:
Увеличить