Официальное опубликование правовых актов
ОФИЦИАЛЬНОЕ ОПУБЛИКОВАНИЕ
Приказ Министерства экологии и природных ресурсов Нижегородской области от 01.07.2022 № 319-536/22П/од
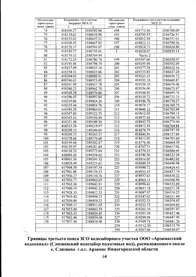
"Об установлении зоны санитарной охраны водозаборного участка ООО "Арзамасский водоканал" (Слизневский водозабор подземных вод), расположенного около с. Слизнево г.о.г. Арзамас Нижегородской области"
(Зарегистрирован 18.07.2022 № 20658-319-319-536/22П/од)
Номер опубликования: 5201202207200004
Дата опубликования: 20.07.2022
Страница №14 из 15:
Увеличить