Официальное опубликование правовых актов
ОФИЦИАЛЬНОЕ ОПУБЛИКОВАНИЕ
Приказ Министерства экологии и природных ресурсов Нижегородской области от 01.07.2022 № 319-538/22П/од
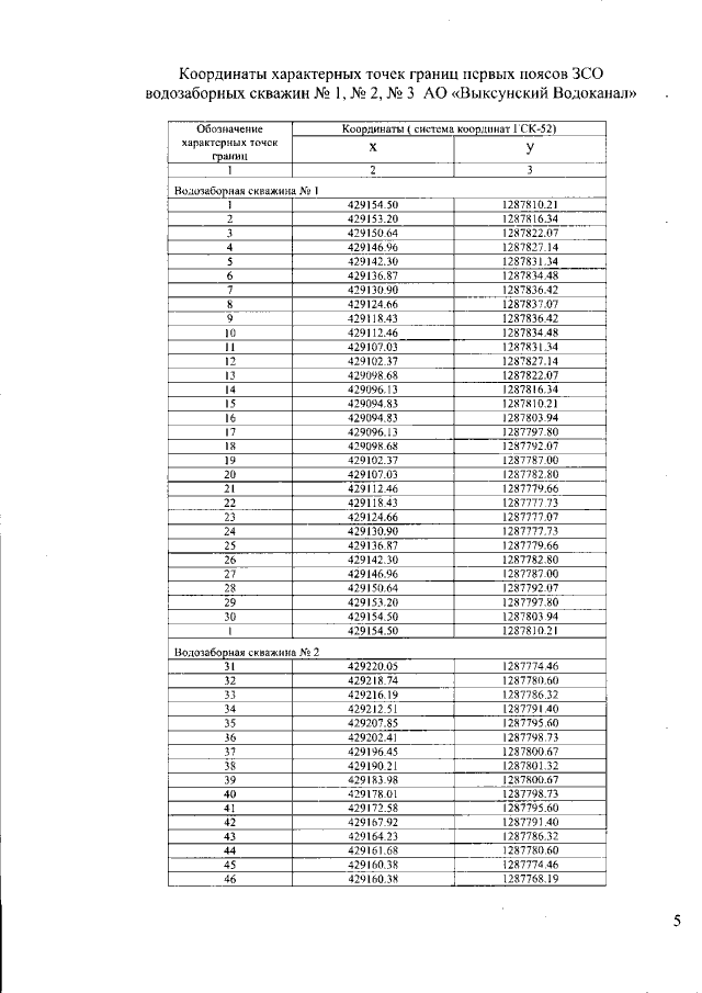
"Об установлении зон санитарной охраны водозаборных скважин АО "Выксунский Водоканал" в р.п. Досчатое г.о.г. Выкса Нижегородской области"
(Зарегистрирован 15.07.2022 № 20649-319-319-538/22П/од)
Номер опубликования: 5201202207180001
Дата опубликования: 18.07.2022
Страница №5 из 12:
Увеличить