Официальное опубликование правовых актов
ОФИЦИАЛЬНОЕ ОПУБЛИКОВАНИЕ
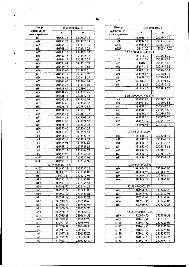
Приказ Министерства градостроительной деятельности и развития агломераций Нижегородской области от 16.06.2022 № 06-01-03/27 "Об утверждении документации по планировке территории участка автомобильной дороги (22 ОП РЗ 22К-0087) Б.Болдино - Пикшень - граница с Республикой Мордовия с искусственным сооружением через р. Пустошка на км 5+228 в Большеболдинском муниципальном округе Нижегородской области"
(Зарегистрирован 06.07.2022 № 20581-330-006-01-03_27)
Номер опубликования: 5201202207070001
Дата опубликования: 07.07.2022
Страница №18 из 22:
Увеличить