Официальное опубликование правовых актов
ОФИЦИАЛЬНОЕ ОПУБЛИКОВАНИЕ
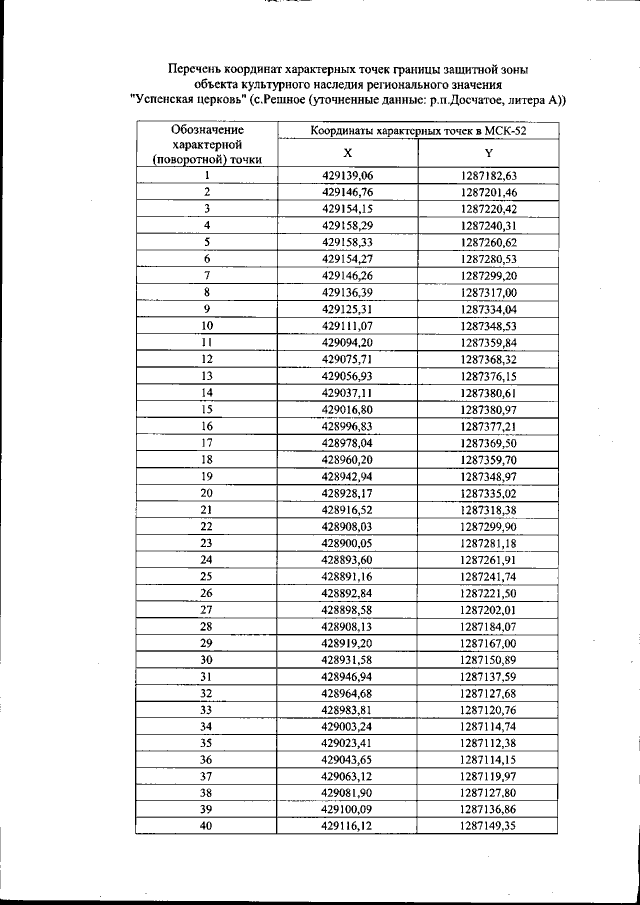
Приказ Управления государственной охраны объектов культурного наследия Нижегородской области от 19.05.2022 № 187 "О внесении изменений в приказ управления государственной охраны объектов культурного наследия Нижегородской области от 20.07.2020 № 207"
(Зарегистрирован 29.06.2022 № 20539-518-187)
Номер опубликования: 5201202207010014
Дата опубликования: 01.07.2022
Страница №3 из 4:
Увеличить