Официальное опубликование правовых актов
ОФИЦИАЛЬНОЕ ОПУБЛИКОВАНИЕ
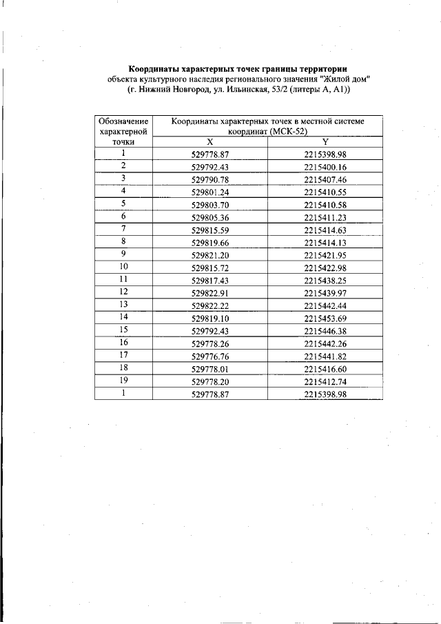
Приказ Управления государственной охраны объектов культурного наследия Нижегородской области от 21.06.2022 № 214 "Об утверждении границы и режима использования территории объекта культурного наследия регионального значения "Жилой дом", расположенного в г. Нижнем Новгороде"
(Зарегистрирован 29.06.2022 № 20541-518-214)
Номер опубликования: 5201202207010013
Дата опубликования: 01.07.2022
Страница №4 из 6:
Увеличить