Официальное опубликование правовых актов
ОФИЦИАЛЬНОЕ ОПУБЛИКОВАНИЕ
Приказ Министерства экологии и природных ресурсов Нижегородской области от 21.06.2022 № 319-524/22П/од
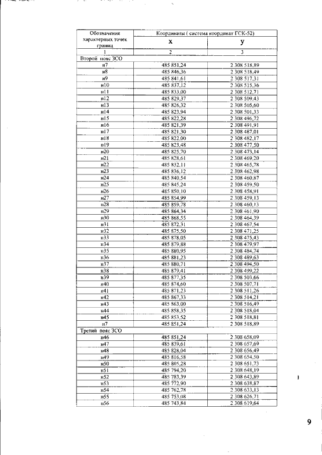
"Об установлении зон санитарной охраны водозаборов МУП "Спасское ЖКХ" в д. Старое Дружково, д. Новое Дружково, д. Бутениха Спасского муниципального округа Нижегородской области"
(Зарегистрирован 29.06.2022 № 20525-319-319-524/22П/од)
Номер опубликования: 5201202207010010
Дата опубликования: 01.07.2022
Страница №9 из 18:
Увеличить