Официальное опубликование правовых актов
ОФИЦИАЛЬНОЕ ОПУБЛИКОВАНИЕ
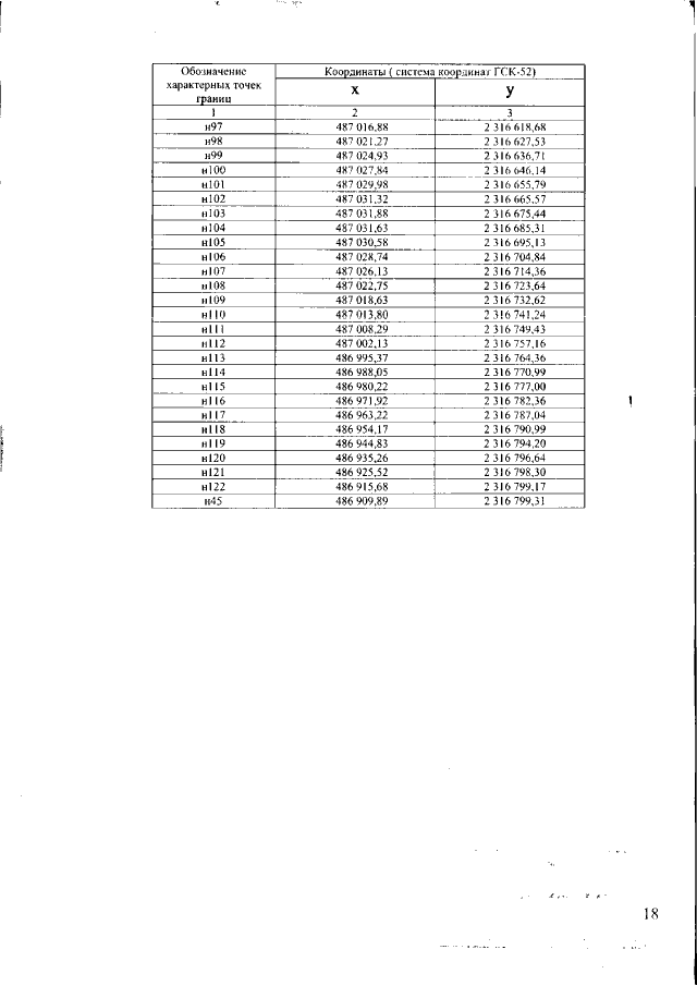
Приказ Министерства экологии и природных ресурсов Нижегородской области от 21.06.2022 № 319-526/22П/од
"Об установлении зон санитарной охраны водозаборов МУП "Спасское ЖКХ" в с. Новый Усад, с. Латышиха Спасского муниципального округа Нижегородской области"
(Зарегистрирован 29.06.2022 № 20527-319-319-526/22П/од)
Номер опубликования: 5201202207010006
Дата опубликования: 01.07.2022
Страница №18 из 18:
Увеличить