Официальное опубликование правовых актов
ОФИЦИАЛЬНОЕ ОПУБЛИКОВАНИЕ
Приказ Министерства градостроительной деятельности и развития агломераций Нижегородской области от 23.05.2022 № 06-01-03/20
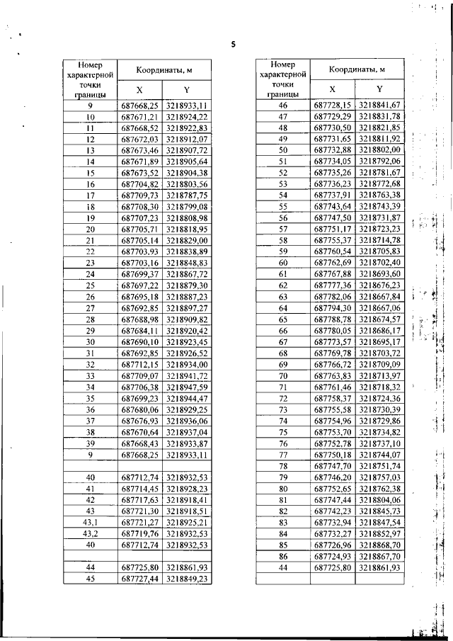
"Об утверждении документации по планировке территории участка автомобильной дороги (22 ОП МЗ 22Н-4315) Тоншаево - Ошминское - Кодочиги с искусственным сооружением через р. Пижма на км 0+308 в Тоншаевском муниципальном округе Нижегородской области"
(Зарегистрирован 16.06.2022 № 20350-330-006-01-03/20)
Номер опубликования: 5201202206170001
Дата опубликования: 17.06.2022
Страница №7 из 21:
Увеличить