Официальное опубликование правовых актов
ОФИЦИАЛЬНОЕ ОПУБЛИКОВАНИЕ
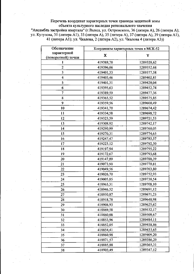
Приказ Управления государственной охраны объектов культурного наследия Нижегородской области от 19.05.2022 № 188
"О внесении изменений в приказ управления государственной охраны объектов культурного наследия Нижегородской области от 11.12.2020 № 387"
(Зарегистрирован 06.06.2022 № 20277-518-188)
Номер опубликования: 5201202206090010
Дата опубликования: 09.06.2022
Страница №6 из 8:
Увеличить