Официальное опубликование правовых актов
ОФИЦИАЛЬНОЕ ОПУБЛИКОВАНИЕ
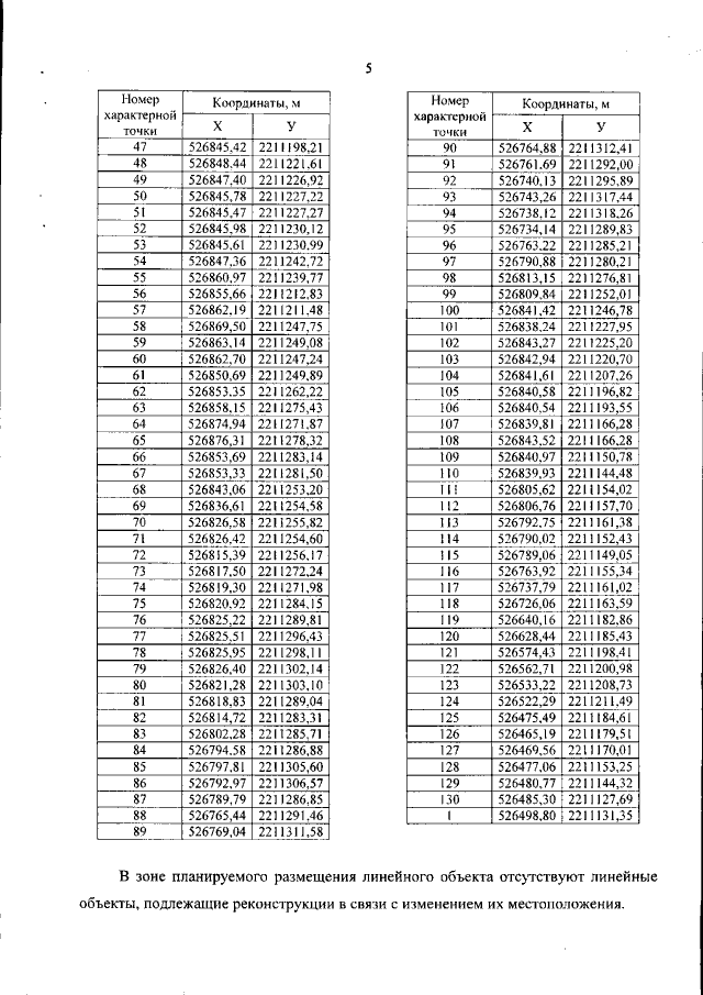
Приказ Министерства градостроительной деятельности и развития агломераций Нижегородской области от 11.05.2022 № 06-01-03/12
"Об утверждении документации по планировке территории, расположенной в границах улиц Лейтенанта Шмидта, Шлиссельбургская, Премудрова в Ленинском районе города Нижнего Новгорода"
(Зарегистрирован 06.06.2022 № 20267-330-006-01-03/12)
Номер опубликования: 5201202206090002
Дата опубликования: 09.06.2022
Страница №7 из 16:
Увеличить