Официальное опубликование правовых актов
ОФИЦИАЛЬНОЕ ОПУБЛИКОВАНИЕ
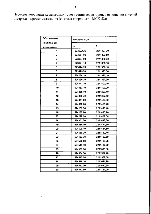
Приказ Министерства градостроительной деятельности и развития агломераций Нижегородской области от 04.05.2022 № 07-02-03/38 "Об утверждении документации по внесению изменений в проект межевания территории в границах улиц Глеба Успенского, Паскаля, Грекова, Адмирала Нахимова, реки Борзовка, улицы Геройская в Ленинском районе города Нижнего Новгорода"
(Зарегистрирован 25.05.2022 № 20193-330-007-02-03/38)
Номер опубликования: 5201202205270003
Дата опубликования: 27.05.2022
Страница №5 из 6:
Увеличить