Официальное опубликование правовых актов
ОФИЦИАЛЬНОЕ ОПУБЛИКОВАНИЕ
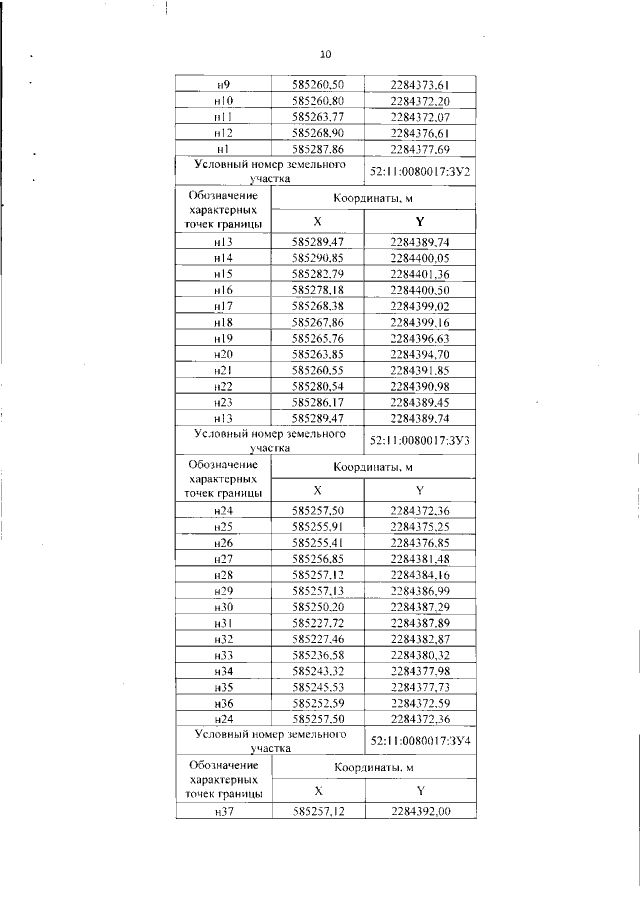
Приказ Министерства градостроительной деятельности и развития агломераций Нижегородской области от 29.03.2022 № 06-01-03/8
"Об утверждении документации по планировке территории участка автомобильной дороги (22 ОП МЗ 22Н-1654) Подъезд к с. Владимирское от а/д Владимирское - Шадрино - Быдрей с искусственным сооружением через ручей на км 0+082 в Воскресенском районе Нижегородской области"
(Зарегистрирован 21.04.2022 № 19834-330-006-01-03/8)
Номер опубликования: 5201202204250001
Дата опубликования: 25.04.2022
Страница №12 из 16:
Увеличить