Официальное опубликование правовых актов
ОФИЦИАЛЬНОЕ ОПУБЛИКОВАНИЕ
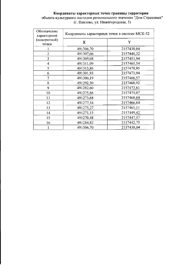
Приказ Управления государственной охраны объектов культурного наследия Нижегородской области от 22.03.2022 № 81 "Об утверждении границ и режима использования территорий объектов культурного наследия регионального значения в г. Павлово"
(Зарегистрирован 12.04.2022 № 19686-518-081)
Номер опубликования: 5201202204130002
Дата опубликования: 13.04.2022
Страница №36 из 50:
Увеличить