Официальное опубликование правовых актов
ОФИЦИАЛЬНОЕ ОПУБЛИКОВАНИЕ
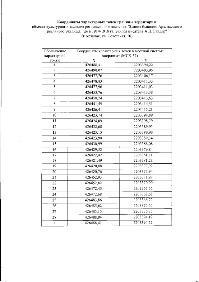
Приказ Управления государственной охраны объектов культурного наследия Нижегородской области от 28.02.2022 № 48 "Об утверждении границ и режима использования территорий объектов культурного наследия регионального значения, расположенных в г. Арзамасе"
(Зарегистрирован 23.03.2022 № 19496-518-048)
Номер опубликования: 5201202203250002
Дата опубликования: 25.03.2022
Страница №7 из 11:
Увеличить