Официальное опубликование правовых актов
ОФИЦИАЛЬНОЕ ОПУБЛИКОВАНИЕ
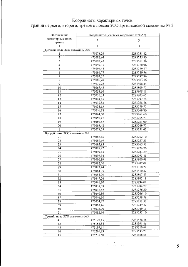
Приказ Министерства экологии и природных ресурсов Нижегородской области от 09.02.2022 № 319-23/22П/од
"Об установлении зон санитарной охраны водозабора (скважины) МУП "Княгининское ЖКХ", расположенного в урочище Козьи Рожки Княгининского муниципального района Нижегородской области"
(Зарегистрирован 03.03.2022 № 19404-319-319-23/22П/од)
Номер опубликования: 5201202203050005
Дата опубликования: 05.03.2022
Страница №5 из 9:
Увеличить