Приказ Министерства экологии и природных ресурсов Нижегородской области от 04.02.2022 № 319-19/22П/од
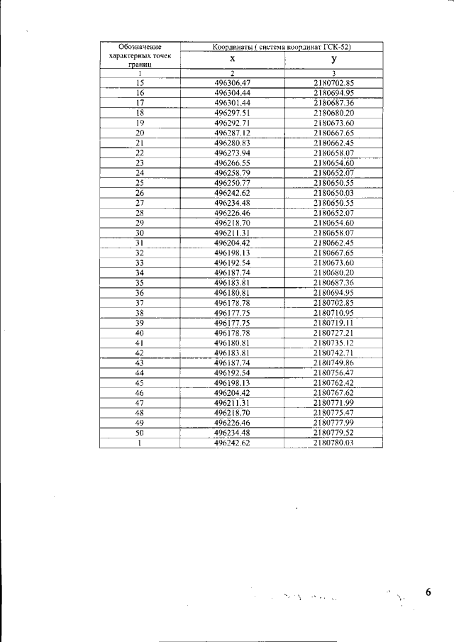
"Об установлении зон санитарной охраны водозаборного участка МУП "УВКХ" юго-восточнее д. Пантелеево Богородского муниципального округа Нижегородской области"
(Зарегистрирован 01.03.2022 № 19398-319-319-19/22П/од)
"Об установлении зон санитарной охраны водозаборного участка МУП "УВКХ" юго-восточнее д. Пантелеево Богородского муниципального округа Нижегородской области"
(Зарегистрирован 01.03.2022 № 19398-319-319-19/22П/од)
Номер опубликования: 5201202203030005
Дата опубликования:
03.03.2022
