Официальное опубликование правовых актов
ОФИЦИАЛЬНОЕ ОПУБЛИКОВАНИЕ
Приказ Министерства градостроительной деятельности и развития агломераций Нижегородской области от 02.02.2022 № 07-02-03/7
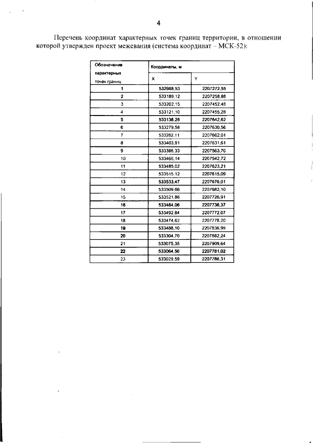
"Об утверждении документации по внесению изменений в проект межевания территории в границах улиц Коминтерна, Культуры, Новосоветская, Пржевальского, Римского- Корсакова, Исполкома в Сормовском районе города Нижнего Новгорода"
(Зарегистрирован 25.02.2022 № 19379-330-007-02-03/7)
Номер опубликования: 5201202203030001
Дата опубликования: 03.03.2022
Страница №6 из 9:
Увеличить