Официальное опубликование правовых актов
ОФИЦИАЛЬНОЕ ОПУБЛИКОВАНИЕ
Приказ Управления государственной охраны объектов культурного наследия Нижегородской области от 27.01.2022 № 23
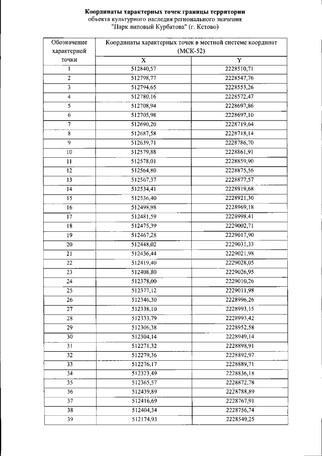
"Об утверждении границы и режима использования территории объекта культурного наследия регионального значения "Парк липовый Курбатова" в г. Кстово"
(Зарегистрирован 17.02.2022 № 19331-518-023)
Номер опубликования: 5201202202180001
Дата опубликования: 18.02.2022
Страница №4 из 7:
Увеличить