Официальное опубликование правовых актов
ОФИЦИАЛЬНОЕ ОПУБЛИКОВАНИЕ
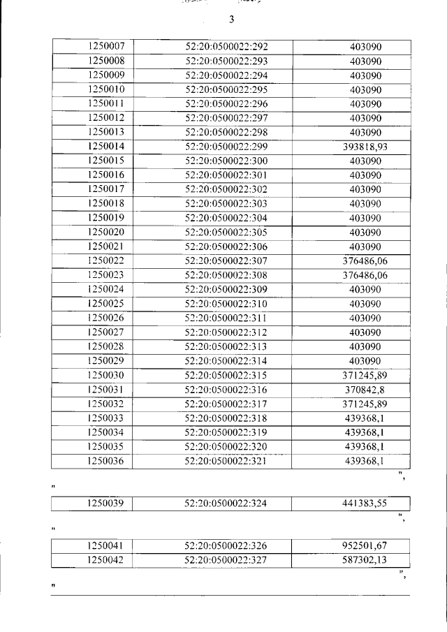
Приказ министерства имущественных и земельных отношений Нижегородской области от 23.12.2021 № 326-13-782273/21
"О внесении изменений в приказ министерства имущественных и земельных отношений Нижегородской области от 21.10.2020 г. № 326-13-566703/20"
(Зарегистрирован 17.01.2022 № 19085-326-326-13-782273/21)
Номер опубликования: 5201202201190004
Дата опубликования: 19.01.2022
Страница №3 из 4:
Увеличить