Официальное опубликование правовых актов
ОФИЦИАЛЬНОЕ ОПУБЛИКОВАНИЕ
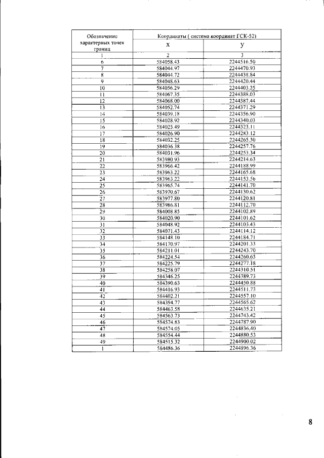
Приказ Министерства экологии и природных ресурсов Нижегородской области от 23.12.2021 № 319-564/21П/од
"Об установлении зон санитарной охраны водозабора АО "Линдовская птицефабрика - племенной завод" в п. Демьяновка г.о. Семеновский Нижегородской области"
(Зарегистрирован 10.01.2022 № 19051-319-319-564/21П/од)
Номер опубликования: 5201202201130004
Дата опубликования: 13.01.2022
Страница №8 из 8:
Увеличить