Официальное опубликование правовых актов
ОФИЦИАЛЬНОЕ ОПУБЛИКОВАНИЕ
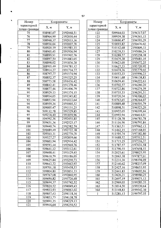
Приказ Министерства градостроительной деятельности и развития агломераций Нижегородской области от 01.12.2021 № 06-01-03/52 "Об утверждении документации по внесению изменений в документацию по планировке территории от Северного подхода к г. Богородск до с. Доскино в Богородском муниципальном округе Нижегородской области"
(Зарегистрирован 27.12.2021 № 18980-330-006-01-03/52)
Номер опубликования: 5201202112290008
Дата опубликования: 29.12.2021
Страница №99 из 99:
Увеличить