Официальное опубликование правовых актов
ОФИЦИАЛЬНОЕ ОПУБЛИКОВАНИЕ
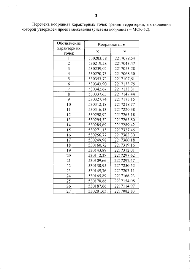
Приказ Министерства градостроительной деятельности и развития агломераций Нижегородской области от 01.12.2021 № 07-02-03/98 "Об утверждении документации по внесению изменений в проект межевания территории в границах улиц Варварская, Ковалихинская, Белинского, площади Сенная, Верхне-Волжской набережной, площади Минина и Пожарского в Нижегородском районе города Нижнего Новгорода"
(Зарегистрирован 20.12.2021 № 18745-330-007-02-03/98)
Номер опубликования: 5201202112220006
Дата опубликования: 22.12.2021
Страница №5 из 7:
Увеличить