Официальное опубликование правовых актов
ОФИЦИАЛЬНОЕ ОПУБЛИКОВАНИЕ
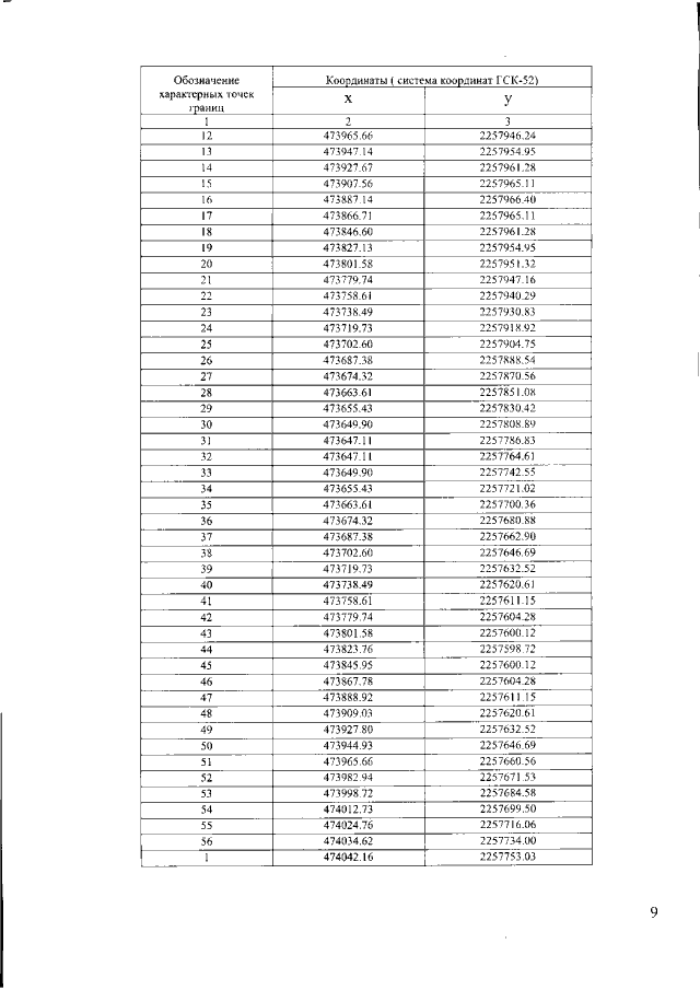
Приказ Министерства экологии и природных ресурсов Нижегородской области от 24.11.2021 № 319-519/21П/од
"Об установлении зон санитарной охраны водозабора ООО ПЗ "Большемурашкинский" в п. Советский Большемурашкинского района Нижегородской области"
(Зарегистрирован 15.12.2021 № 18712-319-319-519/21П/од)
Номер опубликования: 5201202112170005
Дата опубликования: 17.12.2021
Страница №9 из 9:
Увеличить