Официальное опубликование правовых актов
ОФИЦИАЛЬНОЕ ОПУБЛИКОВАНИЕ
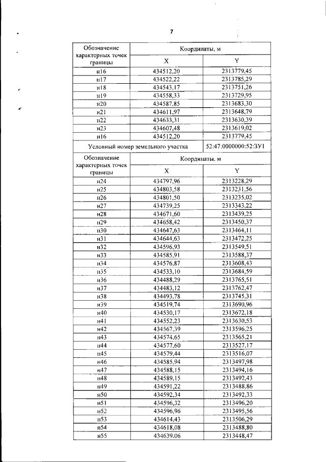
Приказ Министерства градостроительной деятельности и развития агломераций Нижегородской области от 16.11.2021 № 06-01-03/50
"Об утверждении документации по внесению изменений в документацию по планировке (проект межевания) территории, расположенной в Пошатовском сельсовете Краснооктябрьского района Нижегородской области"
(Зарегистрирован 09.12.2021 № 18622-330-006-01-03/50)
Номер опубликования: 5201202112100002
Дата опубликования: 10.12.2021
Страница №9 из 13:
Увеличить