Официальное опубликование правовых актов
ОФИЦИАЛЬНОЕ ОПУБЛИКОВАНИЕ
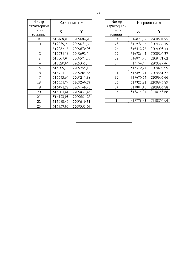
Приказ Министерства градостроительной деятельности и развития агломераций Нижегородской области от 28.10.2021 № 06-01-03/49 "Об утверждении проекта планировки и межевания территории, расположенной в Новинском сельсовете городского округа г. Нижний Новгород Нижегородской области"
(Зарегистрирован 29.11.2021 № 18403-330-006-01-03/49)
Номер опубликования: 5201202112010002
Дата опубликования: 01.12.2021
Страница №25 из 25:
Увеличить