Официальное опубликование правовых актов
ОФИЦИАЛЬНОЕ ОПУБЛИКОВАНИЕ
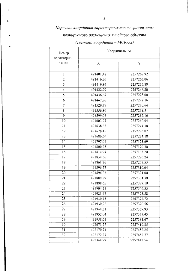
Приказ Министерства градостроительной деятельности и развития агломераций Нижегородской области от 20.10.2021 № 06-01-03/45 "Об утверждении документации по планировке территории, расположенной в районе с. Чернышиха Кстовского района Нижегородской области"
(Зарегистрирован 18.11.2021 № 18209-330-006-01-03/45)
Номер опубликования: 5201202111190001
Дата опубликования: 19.11.2021
Страница №5 из 19:
Увеличить