Официальное опубликование правовых актов
ОФИЦИАЛЬНОЕ ОПУБЛИКОВАНИЕ
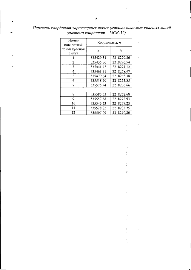
Приказ Министерства градостроительной деятельности и развития агломераций Нижегородской области от 15.09.2021 № 06-01-03/40 "Об утверждении документации по планировке территории, расположенной на участках автомобильной дороги (22 ОП МЗ 22Н-0763) Подъезд к г. Бор от а/д Неклюдово - Бор - Валки - Макарьево в г.о.г Бор Нижегородской области на км 0+497, 0+579, 1+239, 1+740, 1+803, 8+462, 8+515, 9+295, 9+367"
(Зарегистрирован 13.10.2021 № 17924-330-006-01-03/40)
Номер опубликования: 5201202110130004
Дата опубликования: 13.10.2021
Страница №4 из 18:
Увеличить