Официальное опубликование правовых актов
ОФИЦИАЛЬНОЕ ОПУБЛИКОВАНИЕ
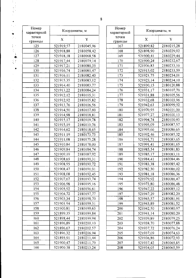
Приказ Министерства градостроительной деятельности и развития агломераций Нижегородской области от 09.09.2021 № 06-01-03/39 "Об утверждении документации по внесению изменений в документацию по планировке территории от пр. Ленина до пр. Свердлова, расположенной в городском округе город Дзержинск Нижегородской области"
(Зарегистрирован 04.10.2021 № 17895-330-006-01-03/39)
Номер опубликования: 5201202110060004
Дата опубликования: 06.10.2021
Страница №10 из 68:
Увеличить