Официальное опубликование правовых актов
ОФИЦИАЛЬНОЕ ОПУБЛИКОВАНИЕ
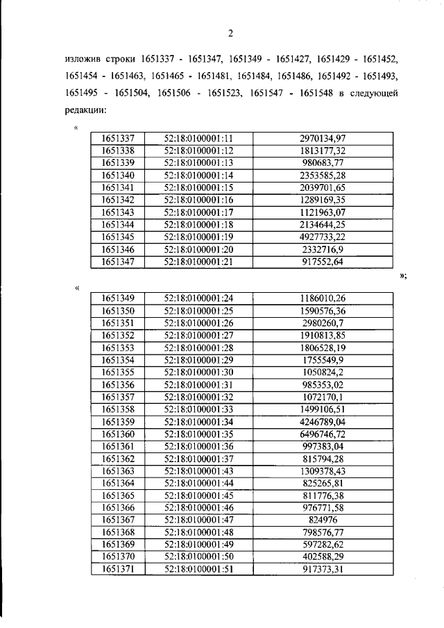
Приказ министерства имущественных и земельных отношений Нижегородской области от 04.08.2021 № 326-13-447209/21 "О внесении изменений в приказ министерства имущественных и земельных отношений Нижегородской области от 12.10.2020 г. № 326-13-544129/20"
(Зарегистрирован 23.08.2021 № 17708-326-326-13-447209/21)
Номер опубликования: 5201202108260006
Дата опубликования: 26.08.2021
Страница №2 из 7:
Увеличить