Официальное опубликование правовых актов
ОФИЦИАЛЬНОЕ ОПУБЛИКОВАНИЕ
Приказ Министерства градостроительной деятельности и развития агломераций Нижегородской области от 23.06.2021 № 06-01-03/28
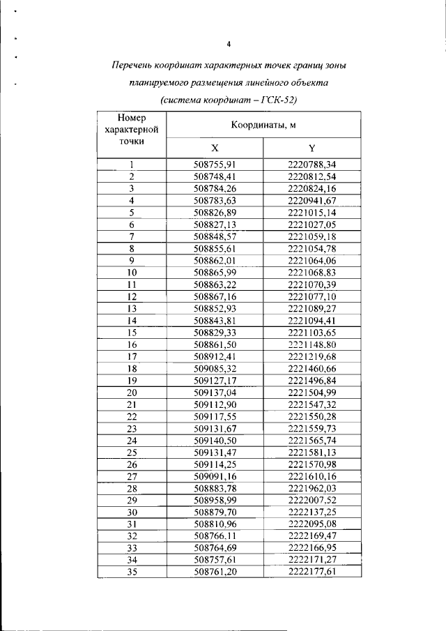
"Об утверждении документации по внесению изменений в проект планировки и межевания территории для реконструкции линейного объекта: "Сооружение (газопровод, состоящий из участков №№1-42, 45-49, 98, 149-150, 225-339, 341-366, 376, 378-385, 647-679, 681-689, 691-695, 696, 698, 699-722, 724, 730- 736, 739-741,743-760, 762-768, 771,773-787, 789- 790, 792-803, 807-819, 821-850, 1043, 1047, 1050- 1053, 1055-1061, 1 ШРП и 12 ГРП), протяженность: 180598,6 п.м. Адрес (местоположение) объекта: Нижегородская область, город Кстово, село Великий Враг, село Караулово, село Мокрое, деревня Подвалиха. Инв. №23995-5. (газопровод на с. Чаглава, с. Б. Мокрое). Код стройки №23995-5"
(Зарегистрирован 19.07.2021 № 17553-330-006-01-03/28)
Номер опубликования: 5201202107210008
Дата опубликования: 21.07.2021
Страница №7 из 19:
Увеличить