Официальное опубликование правовых актов
ОФИЦИАЛЬНОЕ ОПУБЛИКОВАНИЕ
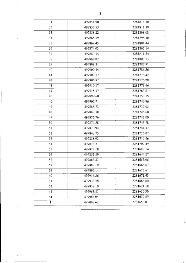
Приказ Управления государственной охраны объектов культурного наследия Нижегородской области от 15.06.2021 № 160 "Об утверждении границы и режима использования территории объекта культурного наследия регионального значения "Комплекс зданий пивоваренного завода Ермолаева" (г. Лысково, ул. Мичурина, 25)"
(Зарегистрирован 01.07.2021 № 17476-518-160)
Номер опубликования: 5201202107050003
Дата опубликования: 05.07.2021
Страница №5 из 7:
Увеличить