Официальное опубликование правовых актов
ОФИЦИАЛЬНОЕ ОПУБЛИКОВАНИЕ
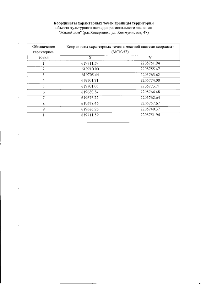
Приказ Управления государственной охраны объектов культурного наследия Нижегородской области от 15.06.2021 № 161 "Об утверждении границы и режима использования территории объекта культурного наследия регионального значения "Жилой дом" (р.п.Ковернино, ул. Коммунистов, 48)"
(Зарегистрирован 01.07.2021 № 17477-518-161)
Номер опубликования: 5201202107050002
Дата опубликования: 05.07.2021
Страница №4 из 6:
Увеличить