Официальное опубликование правовых актов
ОФИЦИАЛЬНОЕ ОПУБЛИКОВАНИЕ
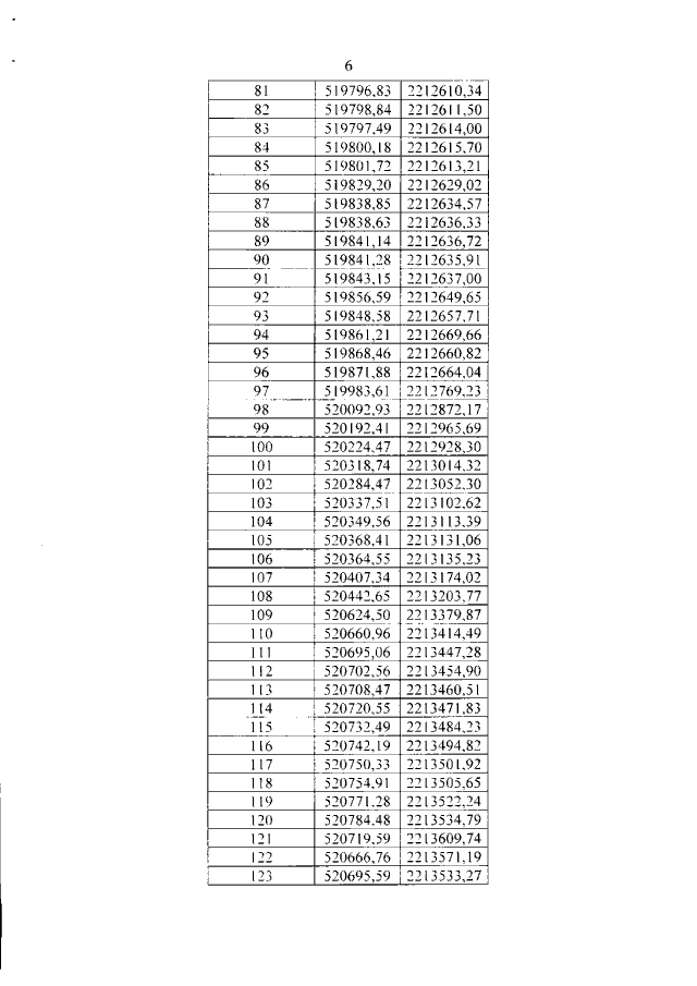
Приказ Министерства градостроительной деятельности и развития агломераций Нижегородской области от 21.05.2021 № 07-02-03/32 "Об утверждении проекта планировки территории по проспекту Гагарина и проекта межевания территории в районе дома № 105 А по проспекту Гагарина в Приокском районе города Нижнего Новгорода"
(Зарегистрирован 15.06.2021 № 17349-330-007-02-03/32)
Номер опубликования: 5201202106170003
Дата опубликования: 17.06.2021
Страница №8 из 17:
Увеличить