Официальное опубликование правовых актов
ОФИЦИАЛЬНОЕ ОПУБЛИКОВАНИЕ
Приказ Министерства градостроительной деятельности и развития агломераций Нижегородской области от 13.05.2021 № 06-01-03/24
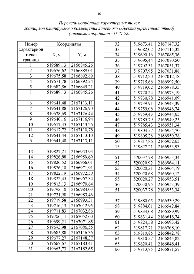
"Об утверждении документации по планировке территории в районе пересечения автомобильной дороги (22 ОП РЗ 22К-0026) Дзержинск - Володарск - Ильино - а/д М-7 "Волга" и автомобильной дороги (22 ОП РЗ 22К-1414) Подъезд к г. Володарск от а/д Дзержинск - Володарск - Ильино - а/д М-7 "Волга" в Володарском районе Нижегородской области"
(Зарегистрирован 08.06.2021 № 17318-330-006-01-03/24)
Номер опубликования: 5201202106090013
Дата опубликования: 09.06.2021
Страница №12 из 27:
Увеличить