Официальное опубликование правовых актов
ОФИЦИАЛЬНОЕ ОПУБЛИКОВАНИЕ
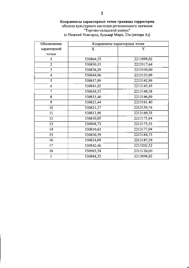
Приказ Управления государственной охраны объектов культурного наследия Нижегородской области от 19.05.2021 № 133
"Об утверждении границ и режима использования территорий объектов культурного наследия регионального значения, расположенных на бульваре Мира в г. Нижнем Новгороде"
(Зарегистрирован 08.06.2021 № 17317-518-133)
Номер опубликования: 5201202106090002
Дата опубликования: 09.06.2021
Страница №4 из 8:
Увеличить