Официальное опубликование правовых актов
ОФИЦИАЛЬНОЕ ОПУБЛИКОВАНИЕ
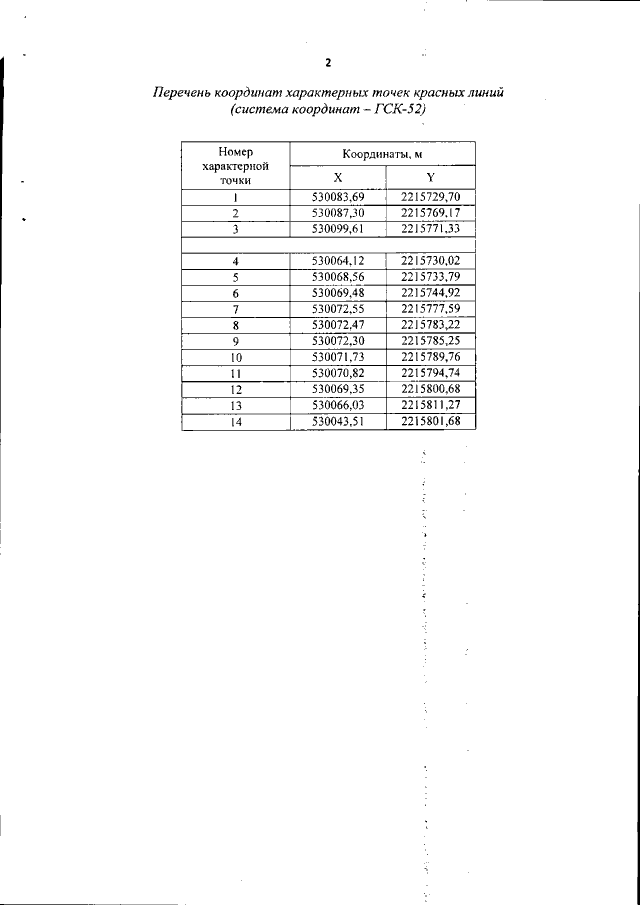
Приказ Министерства градостроительной деятельности и развития агломераций Нижегородской области от 21.04.2021 № 06-01-03/19
"Об утверждении документации по планировке территории в границах улиц Добролюбова, Сергиевская, переулок Плотничный в городском округе город Нижний Новгород"
(Зарегистрирован 25.05.2021 № 17233-330-006-01-03/19)
Номер опубликования: 5201202105270005
Дата опубликования: 27.05.2021
Страница №4 из 11:
Увеличить