Официальное опубликование правовых актов
ОФИЦИАЛЬНОЕ ОПУБЛИКОВАНИЕ
Приказ Министерства градостроительной деятельности и развития агломераций Нижегородской области от 27.04.2021 № 06-01-03/22
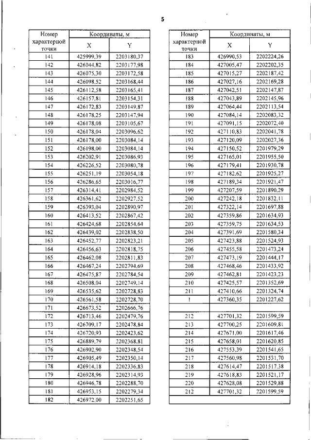
"Об утверждении документации по планировке территории (проект планировки и межевания территории) в целях реконструкции существующих сетей: "г. Арзамас, от КНС №1 на ул. Складская до очистных сооружений", "г. Арзамас, от КНС №2 по ул. Урицкого до очистных сооружений"
(Зарегистрирован 25.05.2021 № 17236-330-006-01-03/22)
Номер опубликования: 5201202105270003
Дата опубликования: 27.05.2021
Страница №7 из 18:
Увеличить