Официальное опубликование правовых актов
ОФИЦИАЛЬНОЕ ОПУБЛИКОВАНИЕ
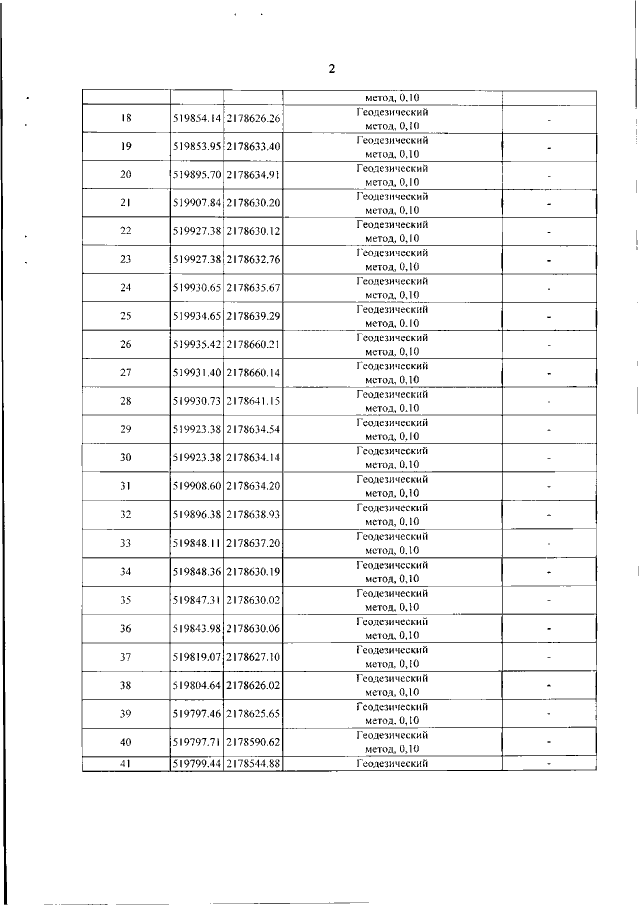
Приказ Министерства градостроительной деятельности и развития агломераций Нижегородской области от 05.04.2021 № 06-11/131 "Об утверждении границ охранной зоны существующей газораспределительной сети, расположенной в городском округе город Дзержинск Нижегородской области"
(Зарегистрирован 26.04.2021 № 17099-330-006-11/131)
Номер опубликования: 5201202104290011
Дата опубликования: 29.04.2021
Страница №5 из 7:
Увеличить