Официальное опубликование правовых актов
ОФИЦИАЛЬНОЕ ОПУБЛИКОВАНИЕ
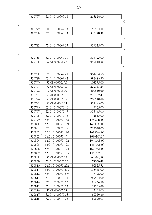
Приказ министерства имущественных и земельных отношений Нижегородской области от 17.03.2021 № 326-13-158881/21 "О внесении изменений в приказ министерства имущественных и земельных отношений Нижегородской области от 21.10.2020 г. № 326-13-566703/20"
(Зарегистрирован 23.04.2021 № 17082-326-326-13-158881/21)
Номер опубликования: 5201202104260003
Дата опубликования: 26.04.2021
Страница №20 из 29:
Увеличить